Converter L/s Em M3/h

Membranes Free Full Text The Removal Of Selected Inorganics From Municipal Membrane Bioreactor Wastewater Using Uf Nf Ro Membranes For Water Reuse Application A Pilot Scale Study Html
Air Flow Conversion Calculator Ft Meter M S Miles Hr Ft3 Min M3 Hr L S

Membranes Free Full Text The Removal Of Selected Inorganics From Municipal Membrane Bioreactor Wastewater Using Uf Nf Ro Membranes For Water Reuse Application A Pilot Scale Study Html

Thermal Conductivity Unity Converter

Energies Free Full Text Multivariate Analysis Of A Wind Pv Based Water Pumping Hybrid System For Irrigation Purposes Html
Air Flow Conversion Calculator Ft Meter M S Miles Hr Ft3 Min M3 Hr L S

Sensors Free Full Text A 1 Ns 1 V Sub 1 µw Linear Cmos Ota With Rail To Rail Input For Hz Band Sensory Interfaces Html

Membranes Free Full Text The Removal Of Selected Inorganics From Municipal Membrane Bioreactor Wastewater Using Uf Nf Ro Membranes For Water Reuse Application A Pilot Scale Study Html

Litros Por Minutos A Metros Cubicos Por Segundos L Min A M3 S Youtube

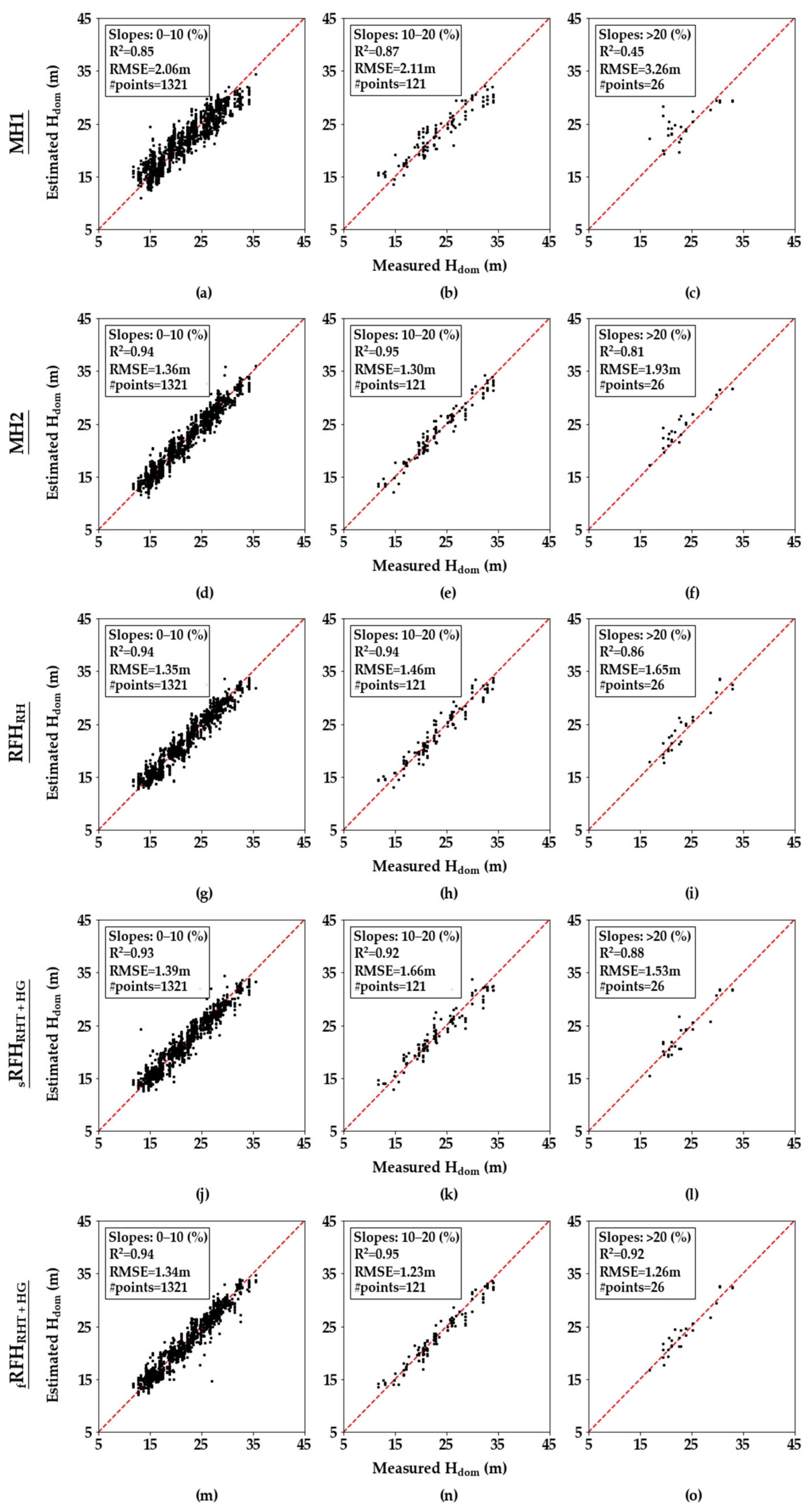
Remote Sensing Free Full Text Terrain Slope Effect On Forest Height And Wood Volume Estimation From Gedi Data Html

Remote Sensing Free Full Text Terrain Slope Effect On Forest Height And Wood Volume Estimation From Gedi Data Html

High Pressure Centrifugal Pumps Wilo Select Net

Energies Free Full Text Multivariate Analysis Of A Wind Pv Based Water Pumping Hybrid System For Irrigation Purposes Html
Posting Komentar untuk "Converter L/s Em M3/h"